基本信息:
中文名称 3-[4-(叔丁氧基羰基)哌嗪-1-基]苯硼酸频那醇酯
英文名称 tert-butyl 4-[3-(4,4,5,5-tetramethyl-1,3,2-dioxaborolan-2-yl)phenyl]piperazine-1-carboxylate
英文别名 {3-[4-(tert-butoxycarbonyl)piperazin-1-yl]phenyl}boronic ester;TERT-BUTYL 4-(3-(4,4,5,5-TETRAMETHYL-1,3,2-DIOXABOROLAN-2-YL)PHENYL)PIPERAZINE-1-CARBOXYLATE;BM343;3-[4-(N-Boc)piperazin-1-yl]phenylboronic acid pinacol ester;3-[4-(TERT-BUTOXYCARBONYL)PIPERAZIN-1-YL]PHENYLBORONIC ACID PINACOL ESTER;1,1-dimethylethyl 4-[3-(4,4,5,5-tetramethyl-1,3,2-dioxaborolan-2-yl)phenyl]-1-piperazinecarboxylate;4-[3-(4,4,5,5-tetramethyl-[1,3,2]dioxaborolan-2-yl)-phenyl]-piperazine-1-carboxylic acid tert-butyl ester;3-(4-tert-butoxycarbonylpiperazinyl)phenylboronic acid pinacol ester;
CAS号 540752-87-2
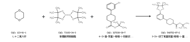
合成路线:
1.通过1,4-二氧六环、联硼酸频那醇酯和4-(3-溴-苯基)-哌嗪-1-羧酸叔丁酯合成3-[4-(叔丁氧基羰基)哌嗪-1-基]苯硼酸频那醇酯

2.通过联硼酸频那醇酯合成3-[4-(叔丁氧基羰基)哌嗪-1-基]苯硼酸频那醇酯,收率约81%;

合成路线仅供参考