基本信息:
中文名称 3,3''-亚氨基二丙酸二乙酯
英文名称 ethyl 3-[(3-ethoxy-3-oxopropyl)amino]propanoate
英文别名 3,3''-iminobis(ethyl propionate);Diethyl 3,3''-Iminodipropionate;N,N-bis-(1-ethoxy-carbonyleth-2-yl)amine;2,2''-dicarboethoxydiethylamine;diethyl 3,3''-iminodipropanoate;diethyl 3,3''-azanediyldipropanoate;bis<2-(ethoxycarbonyl)ethyl>amin;3,3''-Iminodipropionic Acid Diethyl Ester;
CAS号 3518-88-5
合成路线:
1.通过3-[苄基-(2-乙氧基羰基乙基)-氨基]-丙酸乙酯合成3,3''-亚氨基二丙酸二乙酯,收率约95%;

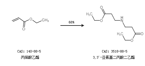
2.通过丙烯酸乙酯合成3,3''-亚氨基二丙酸二乙酯,收率约68%;

合成路线仅供参考