基本信息:
中文名称 3,3-二氯-异苯并呋喃-1-酮
中文别名 Α,Α-二氯苯酞;
英文名称 3,3-dichloro-2-benzofuran-1-one
英文别名 3,3-dichloro-1-isobenzofuranone;3,3-dichlorobenzo<b>furan-2(3H)-one;3,3-dichlorphthalid;phthaloyl isochloride;pseudo phthaloyl chloride;3,3-dichloro-isobenzofuran-1-one;phthalidylidene dichloride;3,3-dichlorophthalide;
CAS号 601-70-7
合成路线:
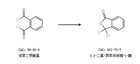
1.通过邻苯二甲酰氯合成3,3-二氯-异苯并呋喃-1-酮

2.通过1,4-二氯萘和乙酸合成3,3-二氯-异苯并呋喃-1-酮

合成路线仅供参考