基本信息:
中文名称 3-(N-Cbz-4-哌啶基)-3-氧代丙酸乙酯
中文别名 3-(N-CBZ-哌啶-4-基)-3-氧代丙酸乙酯;
英文名称 Ethyl 3-(N-Cbz-4-piperidyl)-3-oxopropanoate
英文别名 benzyl 4-(3-ethoxy-3-oxopropanoyl)piperidine-1-carboxylate;Benzyl 4-(3-ethoxy-3-oxopropanoyl)piperidine-1-carboxylate;
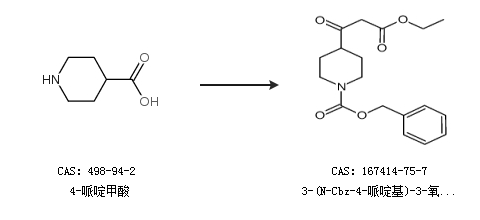
CAS号 167414-75-7
合成路线:
1.通过乙酸乙酯和4-氯羰酰四氢-吡啶羧酸苄酯合成3-(N-Cbz-4-哌啶基)-3-氧代丙酸乙酯

2.通过4-哌啶甲酸合成3-(N-Cbz-4-哌啶基)-3-氧代丙酸乙酯

合成路线仅供参考