基本信息:
中文名称 3-(4-氟苯甲酰基)丙酸
中文别名 3-(4-氟苯甲酰)丙酸;4-(4-氟苯基)-4-氧代丁酸;
英文名称 3-(4-Fluorobenzoyl)propionic acid
英文别名 3-(4-Fluorobenzoyl)propionic Acid;4-(4-fluorophenyl)-4-oxobutanoic acid;Haloperidol metabolite III;
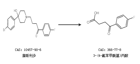
CAS号 366-77-8
合成路线:
1.通过丁二酸酐和氟苯合成3-(4-氟苯甲酰基)丙酸,收率约98%;

2.通过溴哌利多合成3-(4-氟苯甲酰基)丙酸

合成路线仅供参考