基本信息:
中文名称 2-噻吩-2-乙酰肼
英文名称 2-thiophen-2-ylacetohydrazide
英文别名 2-thien-2-ylacetic hydrazide;thiophen-2-yl-acetic acid hydrazide;2-thien-2-ylacetohydrazide;Thiophene-2-acetyl hydrazide;2-thienylacetic acid hydrazide;
CAS号 39978-18-2
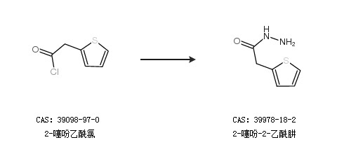
合成路线:
1.通过2-噻吩乙酸乙酯合成2-噻吩-2-乙酰肼

2.通过2-噻吩乙酰氯合成2-噻吩-2-乙酰肼

合成路线仅供参考