基本信息:
中文名称 2-氰基苯乙基乙酰胺
英文名称 2-cyano-N-(2-phenylethyl)acetamide
英文别名 Cyan-essigsaeure-phenaethylamid;cyano-acetic acid phenethylamide;2-cyano-n-phenethyl-acetamide;
CAS号 51838-02-9
合成路线:
1.通过2-苯乙胺和氰乙酸甲酯合成2-氰基苯乙基乙酰胺,收率约44%;

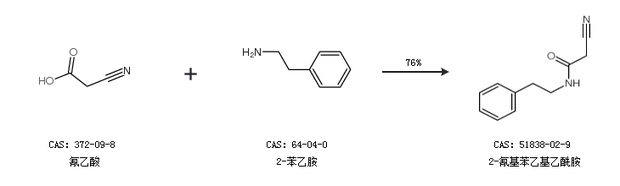
2.通过氰乙酸和2-苯乙胺合成2-氰基苯乙基乙酰胺,收率约76%;

合成路线仅供参考