基本信息:
中文名称 正壬醇
中文别名 1-壬醇;天竺葵醇;壬醇;
英文名称 nonan-1-ol
英文别名 1-Nonanol;nonylaldehyde dimethylacetal;1,1-dimethoxy-nonane;Nonyl Alcohol;nonyl alcohol;1-nonanal dimethyl acetal;n-Nonyl alcohol;1-nonyl alcohol;pelargonaldehyde dimethyl acetal;nonanal dimethylacetal;Nonane,1,1-dimethoxy;
CAS号 143-08-8
合成路线:
1.通过壬醛合成正壬醇,收率约99%;

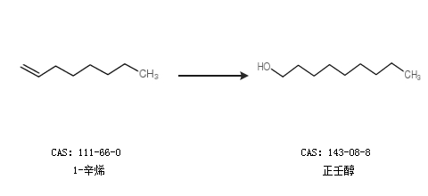
2.通过1-辛烯合成正壬醇

更多路线和参考文献可参考