基本信息:
中文名称 正己胺-D13
英文名称 N-HEXYL-D13-AMINE
英文别名 1,1,2,2,,3,3,4,4,5,5,6,6,6-tridecadeuterohexan-1-amine;Frigen 113 TR;Genesolv D;1,2,2-trifluoro-1,1,2-trichloroethane;1,1,2-Trichlorotrifluoroethane;1,2,2-trifluoro-trichloroethane;6,6,6,5,5,4,4,3,3,2,2,1,1-d13-hexylamine;CFC-113;Arklone P;1,1,2-trifluorotrichloroethane;Freon TF;Genetron 113;Arcton 63;1,2,2-trichlorotrifluoroethane;1,2,2-trichloro-1,1,2-trifluoroethane;
CAS号 352438-81-4
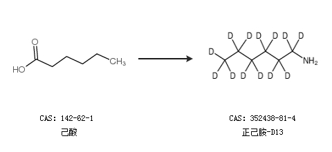
合成路线:
1.通过己酸合成正己胺-D13

更多路线和参考文献可参考