你好,欢迎来到中华试剂网 购试剂 买耗材! [请登录][注册有惊喜]

货号快速下单 | 签到送积分   | 会员中心 | 客服热线:400-021-2765

藻红B的合成路线有哪些?

提问时间:2021/4/20 8:14:20
藻红B有什么方法可以合成?

1条回复:

匿名
2021/4/20 8:14:20
基本信息:
中文名称 藻红B
中文别名 四碘荧光素;3,''6''-二羟基-2,''4,''5,''7,''-四碘螺[异苯并呋喃-1(3H),9''-[9H]占吨]-3-酮;赤藓红;四碘荧光素B;
英文名称 Erythrosin B
英文别名 Tetraiodofluorescein;Solvent Red 140;ERYTHROSIN B;
CAS号 15905-32-5

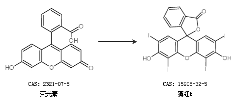
合成路线:
1.通过荧光素合成藻红B,收率约29%;


2.通过荧光素合成藻红B


更多路线和参考文献可参考
回复