基本信息:
中文名称 孕烯醇酮
中文别名 孕甾烯醇酮;3β-羟基孕甾-5-烯-20-酮;5-孕甾烯-3β-醇-20-酮;5-Pregnen-3β-ol-20-one;妊娠烯醇酮;
英文名称 pregnenolone
英文别名 Pregnelone;prenolon;Progeserone;pregnolon;Pregnenolone;3β-Hydroxy-5-pregnen-20-one;Pregnenlolone;prenenolone;ZK-5553;5-Pregnen-3β-ol-20-one;
CAS号 145-13-1
合成路线:
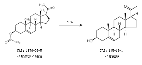
1.通过孕烯诺龙乙酸酯合成孕烯醇酮,收率约97%;

2.通过醋酸妊娠双烯醇酮合成孕烯醇酮

更多路线和参考文献可参考