你好,欢迎来到中华试剂网 购试剂 买耗材! [请登录][注册有惊喜]

货号快速下单 | 签到送积分   | 会员中心 | 客服热线:400-021-2765

孕二烯酮的合成路线有哪些?

提问时间:2021/4/20 8:14:20
孕二烯酮有什么方法可以合成?

1条回复:

匿名
2021/4/20 8:14:20
基本信息:
中文名称 孕二烯酮
中文别名 烯甲炔诺酮;(17α)-13-Ethyl-17-hydroxy-18,19-Dinorpregna-4,15-dien-20-yn-3-one;
英文名称 Gestodene
英文别名 GESTOGENE;SH B 33;GESTODONE;SH B 331;Femodene;
CAS号 60282-87-3

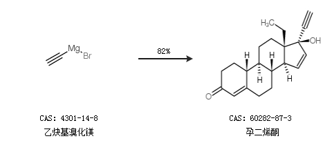
合成路线:
1.通过乙炔基溴化镁合成孕二烯酮,收率约82%;


2.通过溴乙烷和乙炔合成孕二烯酮


更多路线和参考文献可参考
回复