你好,欢迎来到中华试剂网 购试剂 买耗材! [请登录][注册有惊喜]

货号快速下单 | 签到送积分   | 会员中心 | 客服热线:400-021-2765

玉米素核苷的合成路线有哪些?

提问时间:2021/4/20 8:14:20
玉米素核苷有什么方法可以合成?

1条回复:

匿名
2021/4/20 8:14:20
基本信息:
中文名称 玉米素核苷
中文别名 玉精核糖甙;6-反式-4-羟基-3-甲基-丁-2-烯基氨基嘌呤核苷;6-反式-4-羟基-3-甲基丁-2-烯基氨基嘌呤核苷;反式-9-(Β-D-呋喃核糖玉米素);
英文名称 9-ribosyl-trans-zeatin
英文别名 trans-Zeatinriboside;trans-Zeatin-riboside;
CAS号 6025-53-2

合成路线:
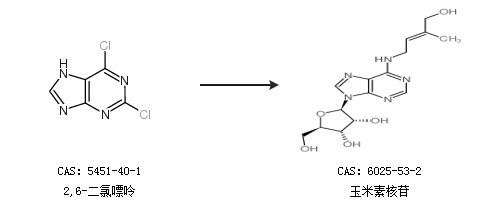
1.通过2,6-二氯嘌呤合成玉米素核苷


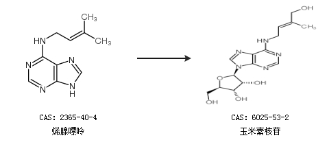
2.通过烯腺嘌呤合成玉米素核苷


更多路线和参考文献可参考
回复