基本信息:
中文名称 玉米素
中文别名 反式玉米素;6-反式-4-羟基-3-甲基-丁-2-烯基氨基嘌呤;(E)-6-(2-甲基-4-羟基-2-丁烯-1-氨基)嘌呤;
英文名称 trans-zeatin
英文别名 ZEATINRESEARCH GRADE;TRANS ISOMER-ZEATIN;6-(4-Hydroxy-3-methylbut-2-enylamino)purine;(2E)-2-methyl-4-(7H-purin-6-ylamino)but-2-en-1-ol;zeatin;(2E)-2-methyl-4-(1H-purin-6-ylamino)-2-buten-1-ol;trans-Zeatin;6-(4-Hydroxy-3-methylbut-2-enylamino)purine (N6-(4-Hydroxy-3-methyl-2-buten-1-yl)adenine;ZEATIN TRANS ISOMER;Zeatine;trans-Zeatin (synthetic);N6-(4-Hydroxy-3-methyl-2-buten-1-yl)adenine;Trans-Zeatin;oxyenadenine;ZEATIN,CRYSTALLIZED;6-(4-Hydroxy-3-methyl-2-butenylamino)purine;(E)-2-methyl-4-(7H-purin-6-ylamino)but-2-en-1-ol;
CAS号 1637-39-4
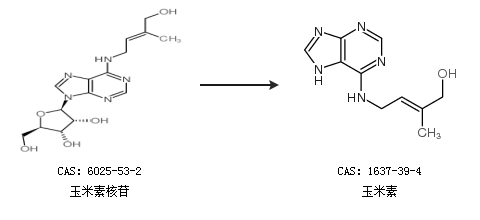
合成路线:
1.通过6-氯嘌呤合成玉米素,收率约78%;

2.通过玉米素核苷合成玉米素

更多路线和参考文献可参考