基本信息:
中文名称 柚皮素
中文别名 柚皮苷元;柑橘素;
英文名称 (S)-naringenin
英文别名 ;naringetol;(S)-5,7-Dihydroxy-2-(4-hydroxyphenyl)chroman-4-one;salipurol;5,7,4''-trihydroxyflavanone;4‘,5,7-Trihydroxyflavanone;4'',5,7-trihydroxyflavanone;Naringenin;naringenine;rac-naringenin;Derivative of;4’,5,7-Trihydroxyflavanone;4′,5,7-Trihydroxyflavanone;salipurpol;
CAS号 480-41-1
合成路线:
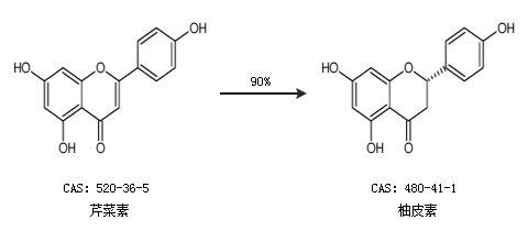
1.通过芹菜素合成柚皮素,收率约90%;

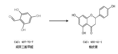
2.通过间苯三酚甲醛合成柚皮素

更多路线和参考文献可参考