基本信息:
中文名称 異丁偶姻
英文名称 4-hydroxy-2,5-dimethylhexan-3-one
英文别名 2,5-dimethyl-4-hydroxyhexan-3-one;4-Hydroxy-2,5-dimethyl-3-hexanone;SMYRRYXXNJLYLY-UHFFFAOYSA;Isopropyl-isobutyryl-carbinol;2,5-Dimethyl-4-hydroxy-3-hexanone;4-hydroxy-2,5-dimethyl-hexan-3-one;4-Hydroxy-2,5-dimethyl-hexan-3-on;isobutyroin;
CAS号 815-77-0
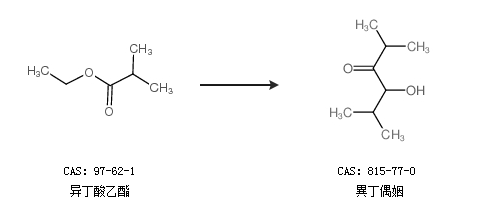
合成路线:
1.通过异丙基溴化镁合成異丁偶姻,收率约71%;

2.通过异丁酸乙酯合成異丁偶姻

更多路线和参考文献可参考