你好,欢迎来到中华试剂网 购试剂 买耗材! [请登录][注册有惊喜]

货号快速下单 | 签到送积分   | 会员中心 | 客服热线:400-021-2765

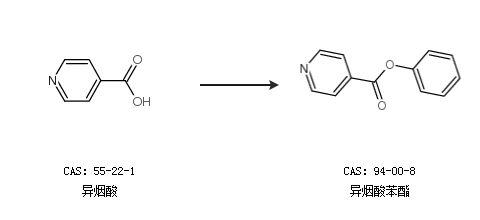
异烟酸苯酯的合成路线有哪些?

提问时间:2021/4/20 8:14:20
异烟酸苯酯有什么方法可以合成?

1条回复:

匿名
2021/4/20 8:14:20
基本信息:
中文名称 异烟酸苯酯
英文名称 Phenyl Isonicotinate
英文别名 phenyl pyridine-4-carboxylate;
CAS号 94-00-8

合成路线:
1.通过异烟酸酰氯和苯酚合成异烟酸苯酯


2.通过异烟酸合成异烟酸苯酯


更多路线和参考文献可参考
回复