基本信息:
中文名称 异山梨醇
中文别名 甘宝素.氯咪巴唑.二唑丁酮;1,4:3,6-二脱水-D-葡萄糖醇;(3S,3AR,6R,6AR)-六氢-[3,2-B]呋喃-3,6-二醇;
英文名称 Isosorbide
英文别名 dianhydro-D-sorbitol;isobide;dianhydro-D-glucitol;Isosorbid;at101;1,4:3,6-dianhydrogluticol;1,4:3,6-dianhydro-D-sorbitol;1,4:3,6-dianhydro-D-glucitol;D-ISOSORBIDE;hydronol;devicoran;IsMotic;
CAS号 652-67-5
合成路线:
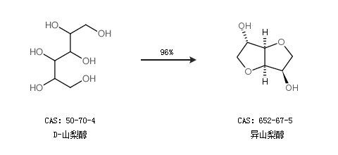
1.通过D-山梨醇合成异山梨醇,收率约4%;

2.通过D-山梨醇合成异山梨醇,收率约96%;

更多路线和参考文献可参考