你好,欢迎来到中华试剂网 购试剂 买耗材! [请登录][注册有惊喜]

货号快速下单 | 签到送积分   | 会员中心 | 客服热线:400-021-2765

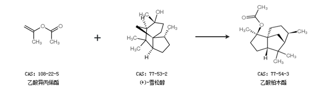
乙酸柏木酯的合成路线有哪些?

提问时间:2021/4/20 8:14:19
乙酸柏木酯有什么方法可以合成?

1条回复:

匿名
2021/4/20 8:14:19
基本信息:
中文名称 乙酸柏木酯
中文别名 乙酸雪松酯;
英文名称 Cedryl acetate
英文别名 Cedrylacetat;Cedranyl acetate;cedrylactate;Credrol acetate;CEDRYL ACETATE P50;CEDARWOOD ACETATE;
CAS号 77-54-3

合成路线:
1.通过乙酸异丙烯酯和(+)-雪松醇合成乙酸柏木酯


更多路线和参考文献可参考
回复