基本信息:
中文名称 乙酸4-(二乙氨基)-2-丁炔醇酯
中文别名 4-(二乙氨基)-2-丁炔醇乙酸酯;1-乙酸基-4-二乙胺基-2-丁炔;乙酸4-(二乙氨基)-2-丁炔醇酯;1-乙酰氧基-4-二乙基氨基-2-丁炔;
英文名称 4-(diethylamino)but-2-ynyl acetate
英文别名 1-Acetoxy-4-diethylamino-2-butyne;4-(Diethylamino)but-2-yn-1-yl acetate;4-diethylamino-2-butynyl acetate;<4-Acetoxy-but-2-inyl>-diethyl-amin;
CAS号 22396-77-6
合成路线:
1.通过4-二乙氨基-2-丁炔-1-醇酐和乙酸合成乙酸4-(二乙氨基)-2-丁炔醇酯,收率约78%;

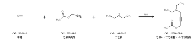
2.通过甲醛、乙酸炔丙酯和二乙胺合成乙酸4-(二乙氨基)-2-丁炔醇酯,收率约70%;

更多路线和参考文献可参考