基本信息:
中文名称 氧烟酸
中文别名 氧化烟酸;N-氧化烟酸;烟酸 N-氧化物;氧邻烟酸;烟酸氮氧化物;
英文名称 Nicotinic acid N-oxide
英文别名 N-oxopyridine-3-carboxylic acid;Oxiniacic Acid;1-oxidopyridine-3-carboxylic acid;OXINIACIC ACID;Pyridine-3-Carboxylic Acid 1-Oxide;3-Carboxypyridine 1-oxide;Nicotinic N-oxide;pyridine-3-carboxylic acid N-oxide;3-carboxypyridine N-oxide;Nicotinic acid oxide;Nicotinic Acid N-Oxide;Oxiniacic;3-carboxypyridine 1-oxide;Nicotinic acid,1-oxide;N-oxidenicotinic acid;RARECHEM AL BO 0712;
CAS号 2398-81-4
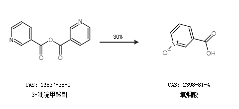
合成路线:
1.通过喹啉酸合成氧烟酸,收率约88%;

2.通过3-吡啶甲酸酐合成氧烟酸,收率约30%;

更多路线和参考文献可参考