基本信息:
中文名称 颜料红194
中文别名 双苯并咪唑[2,1-B:1'',2''J]苯并[LMN][3,8]菲咯啉-6,9-二酮;还原酱红 2R;还原红 RR;还原红 15;
英文名称 Vat Red 15
英文别名 Dycosthren Bordeaux R;PERMANENTREDTG01;Indanthrene Bordeaux;Patcovat Bordeaux RR;Bordeaux RR;C.I. Pigment Red 194;C.I.VATRED15;Vat Bordeaux HRR;pigment red 194;cis-naphthoylenebisbenzimidazole;
CAS号 4216-02-8
合成路线:
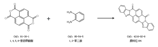
1.通过1,4,5,8-萘四甲酸酐和1,2-苯二胺合成颜料红194

2.通过1,4,5,8-萘四甲酸酐和1,2-苯二胺合成颜料红194

更多路线和参考文献可参考