基本信息:
中文名称 颜料红179
中文别名 颜料红179;C.I瓮红23;2,9-二甲基-蒽并[2,1,9-DEF:6,5,10-D’E’F’]二异喹啉-1,3,8,10(2H,9H)-四酮;N,N''-二甲基-3,4,9,10-四甲酰二亚胺;还原红 2G;
英文名称 N, N′-Dimethyl-3,4,9,10-perylenedicarboximide
英文别名 Pigment Red 179;
CAS号 5521-31-3
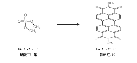
合成路线:
1.通过3,4,9,10-苝四羧酸二酐和甲胺合成颜料红179,收率约97%;

2.通过硫酸二甲酯合成颜料红179

更多路线和参考文献可参考