基本信息:
中文名称 盐酸吉西他滨
中文别名 N-脱苯甲酰基-N-叔丁氧羰基-10-脱乙酰基紫杉醇;多西他塞;多西他赛;
英文名称 docetaxel anhydrous
英文别名 N-DEBENZOYL-N-TERT-BUTOXYCARBONYL-10-DEACETYL;DOCETAXEL;DOCETAXEL TRIHYDRATE;2-amino-5-phosphopentanoicacid;acide amino-6 carboxy-6 hexylphosphonique;D-2-amino-5-phosphonovaleric acid;DL-APV;DL-2-amino-5-phosphonovaleric acid;Docetaxel;N-DEBENZOYL-N-BOC-10-DEACETYL TAXOL;AP-5;5-PHOSPHONO-DL-NORVALINE;DOCETAXEL(TAXOTERE);DOCETAXEL(TAXOTERE) UK 427857;APV;N-Debenzoyl-N-tert-butoxycarbonyl-10-deacetyltaxol;TAXOTERE, DOCETAXEL;N-debenzoyl-N-tert-butoxycarbonyl-10-deacetyl taxol;2-amino-5-phosphonovaleric acid;2-amino-5-phosphovaleric acid;
CAS号 114977-28-5
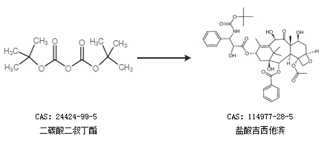
合成路线:
1.通过二碳酸二叔丁酯合成盐酸吉西他滨

2.通过2''-乙酰基多西他赛合成盐酸吉西他滨

更多路线和参考文献可参考