基本信息:
中文名称 烟拉文
中文别名 N,N''-亚丙基双烟酰胺;
英文名称 N-[2-(pyridine-3-carbonylamino)propyl]pyridine-3-carboxamide
英文别名 Nicaraven;Nicaraven;N,N''-Propylenenicotinamide;Nicaravenum [INN-Latin];(+-)-N,N''-Propylenebis(nicotinamide);N,N''-(Propane-1,2-diyl)dinicotinamide;1,2-Bis(nicotinamido)propane;N,N''-propylenedinicotinamide;
CAS号 79455-30-4
合成路线:
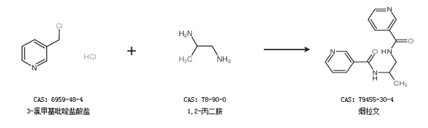
1.通过3-氯甲基吡啶盐酸盐和1,2-丙二胺合成烟拉文

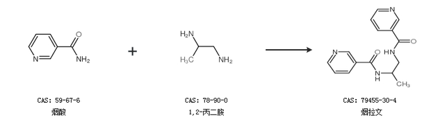
2.通过烟酸和1,2-丙二胺合成烟拉文

更多路线和参考文献可参考