你好,欢迎来到中华试剂网 购试剂 买耗材! [请登录][注册有惊喜]

货号快速下单 | 签到送积分   | 会员中心 | 客服热线:400-021-2765

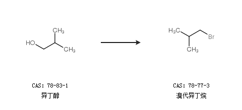
溴代异丁烷的合成路线有哪些?

提问时间:2021/4/20 8:14:18
溴代异丁烷有什么方法可以合成?

1条回复:

匿名
2021/4/20 8:14:18
基本信息:
中文名称 溴代异丁烷
中文别名 异丁基溴;1-溴-2-甲基丙烷;1-溴-2甲基丙烷;溴化异丁基;
英文名称 1-Bromo-2-Methylpropane
英文别名 1-Bromo-2-methylpropane;
CAS号 78-77-3

合成路线:
1.通过异丁醇合成溴代异丁烷


2.通过2-甲基丙烷合成溴代异丁烷


更多路线和参考文献可参考
回复