你好,欢迎来到中华试剂网 购试剂 买耗材! [请登录][注册有惊喜]

货号快速下单 | 签到送积分   | 会员中心 | 客服热线:400-021-2765

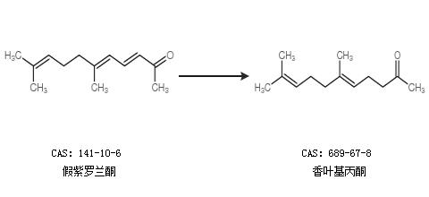
香叶基丙酮的合成路线有哪些?

提问时间:2021/4/20 8:14:18
香叶基丙酮有什么方法可以合成?

1条回复:

匿名
2021/4/20 8:14:18
基本信息:
中文名称 香叶基丙酮
中文别名 6,10-二甲基-5,9-十一双烯-2-酮;6,10-二甲基-5,9-十一碳二烯-2-酮;6,10-二甲基-5,9-十一烯-2-酮;
英文名称 Geranylacetone
英文别名 6,10-Dimethyl-5,9-undecadien-2-one;
CAS号 689-67-8

合成路线:
1.通过芳樟醇和2-甲氧基丙烯合成香叶基丙酮,收率约95%;


2.通过假紫罗兰酮合成香叶基丙酮


更多路线和参考文献可参考
回复