你好,欢迎来到中华试剂网 购试剂 买耗材! [请登录][注册有惊喜]

货号快速下单 | 签到送积分   | 会员中心 | 客服热线:400-021-2765

戊酰胺的合成路线有哪些?

提问时间:2021/4/20 8:14:18
戊酰胺有什么方法可以合成?

1条回复:

匿名
2021/4/20 8:14:18
基本信息:
中文名称 戊酰胺
中文别名 戊胺;
英文名称 pentanamide
英文别名 Pentanimidic acid;n-pentyl amide;N-VALERAMIDE;Valeramide;pentylamide;pentaneamide;Pentanamide;
CAS号 626-97-1

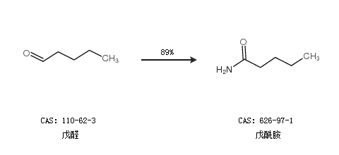
合成路线:
1.通过戊腈合成戊酰胺,收率约94%;


2.通过戊醛合成戊酰胺,收率约89%;


更多路线和参考文献可参考
回复