基本信息:
中文名称 托品酮
中文别名 蒎酮;莨菪酮;8-甲基-8-氮杂双环[3,3,1]辛烷-3-酮;8-甲基-8-氮杂双环[3.2.1]辛烷-3-酮;
英文名称 tropinone
英文别名 TROPIONONE;tropan-3-one;N-methyl-3-tropanone;Tropanon;3-Tropanone;8-methyl-8-azabicyclo[3.2.1]octane-3-one;Tropinon;8-methyl-8-azabicyclo[3.2.1]oct-3-one;Tropanone;8-Methyl-8-azabicyclo[3.2.1]-3-octanone;3-TROPANONE;Tropinone;8-methyl-8-aza-bicyclo[3.2.1]octan-3-one;
CAS号 532-24-1
合成路线:
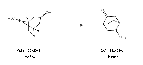
1.通过托品醇合成托品酮

2.通过盐酸甲胺合成托品酮,收率约71%;

更多路线和参考文献可参考