基本信息:
中文名称 蜕皮激素
中文别名 蜕皮激素;20-羟基蜕皮甾酮;20-羟基蜕皮素;Beta-蜕皮甾酮;beta-蜕皮甾酮;
英文名称 20-hydroxyecdysone
英文别名 (2β,3β,5β,22R)-2,3,14,20,22,25-hexahydroxycholest-7-en-6-one;20-Hydroxyecdysone;ecdysterone;β-ecdysone;Hydroxyecdysone;
CAS号 5289-74-7
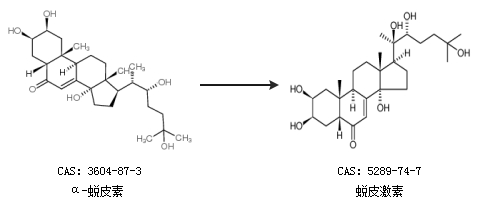
合成路线:
1.通过α-蜕皮素合成蜕皮激素

更多路线和参考文献可参考