你好,欢迎来到中华试剂网 购试剂 买耗材! [请登录][注册有惊喜]

货号快速下单 | 签到送积分   | 会员中心 | 客服热线:400-021-2765

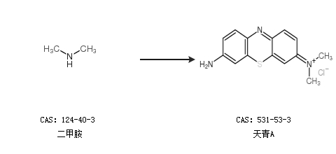
天青A的合成路线有哪些?

提问时间:2021/4/20 8:14:18
天青A有什么方法可以合成?

1条回复:

匿名
2021/4/20 8:14:18
基本信息:
中文名称 天青A
中文别名 天青 Ι;天青 A;蔚蓝Ι;亚甲天青;
英文名称 azure A
英文别名 N,N,N''-Trimethylthionin;AZURE A, CERTIFIED, PURE;Methyleneazure;Azure AC.I. 52005;Azure A chloride;
CAS号 531-53-3

合成路线:
1.通过二甲胺合成天青A


更多路线和参考文献可参考
回复