基本信息:
中文名称 钛酸乙酯
中文别名 乙醇钛;四乙醇钛;钛酸四乙酯;四乙氧基钛;
英文名称 ethanolate,titanium(4+)
英文别名 Tetraethyl Titanate;Titanium(4+) ethanolate;Titanium(IV) Ethoxide;Tetraethyl titanate;titanium (IV) ethoxide;Titaniumtetraethanolate;Ethyl titanate;titanium tetraethoxide;tetraethoxytitanium;Tetraethyl Orthotitanate;tetraethylorthotitanate;
CAS号 3087-36-3
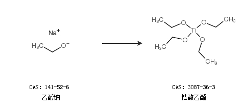
合成路线:
1.通过乙醇和四氯化钛合成钛酸乙酯,收率约86%;

2.通过乙醇钠合成钛酸乙酯

更多路线和参考文献可参考