你好,欢迎来到中华试剂网 购试剂 买耗材! [请登录][注册有惊喜]

货号快速下单 | 签到送积分   | 会员中心 | 客服热线:400-021-2765

四溴酚酞的合成路线有哪些?

提问时间:2021/4/20 8:14:17
四溴酚酞有什么方法可以合成?

1条回复:

匿名
2021/4/20 8:14:17
基本信息:
中文名称 四溴酚酞
中文别名 3'',3'',5'',5''-四溴苯酚酞;
英文名称 3'',3'''',5'',5''''-Tetrabromophenolphthalein
英文别名 3'',3'''',5'',5''''-TETRABROMOPHENOLPHTHALEIN;
CAS号 76-62-0

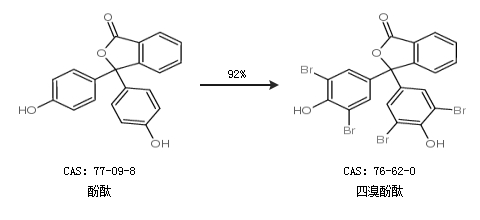
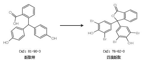
合成路线:
1.通过酚酞合成四溴酚酞,收率约92%;


2.通过酚酞啉合成四溴酚酞


更多路线和参考文献可参考
回复