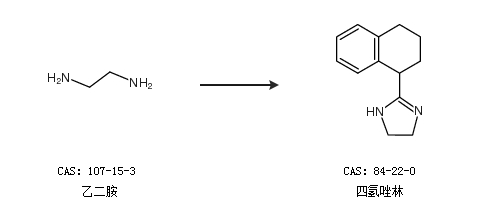
基本信息:
中文名称 四氢唑林
中文别名 四氢唑啉;4,5-二氢-2-(1,2,3,4-四氢-1-萘基)-1H-咪唑;
英文名称 tetryzoline
英文别名 Tetryzoline;2-(1,2,3,4-tetrahydronaphthalen-1-yl)-4,5-dihydro-1H-imidazole;tetrahydrozoline;Tyzanol;Tetryzolin;2-tetralin-1-yl-4,5-dihydro-1H-imidazole;Tetrahydrozolinum;
CAS号 84-22-0
合成路线:
1.通过乙二胺合成四氢唑林

更多路线和参考文献可参考