你好,欢迎来到中华试剂网 购试剂 买耗材! [请登录][注册有惊喜]

货号快速下单 | 签到送积分   | 会员中心 | 客服热线:400-021-2765

四丙基碘化铵的合成路线有哪些?

提问时间:2021/4/20 8:14:17
四丙基碘化铵有什么方法可以合成?

1条回复:

匿名
2021/4/20 8:14:17
基本信息:
中文名称 四丙基碘化铵
中文别名 碘化四丙铵;四正丙基碘化铵;碘化四丙銨;
英文名称 Tetrapropylammonium iodide
英文别名 tetrapropylazanium,iodide;
CAS号 631-40-3

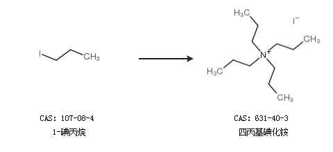
合成路线:
1.通过1-碘丙烷合成四丙基碘化铵


2.通过三正丙胺和1-碘丙烷合成四丙基碘化铵


更多路线和参考文献可参考
回复