基本信息:
中文名称 顺丁烯二酸单甲酯
中文别名 马来酸单甲酯;(Z)-2-丁烯二酸单甲酯;
英文名称 2-Butenedioic acid, monomethyl ester
英文别名 MonoMethyl Maleate;methyl hydrogen maleate;Maleinsaeure-monomethylester;Methyl Hydrogen Maleate;MMM;Meleic acid monomethyl ester;MONOMETHYL MALEATE;Maleic acid 1-methyl;Maleic acid 1-hydrogen 4-methyl ester;methyl maleate;Maleic acid hydrogen 1-methyl ester;methyl hydrogen but-2-enedioate;methyl hydrogen (2Z)-2-butendioate;Monomethylmaleinate;MALEIC ACID MONOMETHYL ESTER;
CAS号 3052-50-4
合成路线:
1.通过马来酸酐和甲醇合成顺丁烯二酸单甲酯,收率约98%;

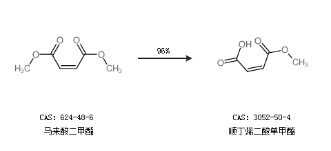
2.通过马来酸二甲酯合成顺丁烯二酸单甲酯,收率约96%;

更多路线和参考文献可参考