基本信息:
中文名称 双嘧达莫
中文别名 潘生丁;联嘧啶氨醇;雙吡大莫;2,6-双(二羟乙基氨基)-4,8-二哌啶基嘧啶并[5,4-d]嘧啶;
英文名称 dipyridamole
英文别名 Natyl;Corosan;Coridil;RA 8;Anginal;Piroan;Dipyridamole;Apricor;Dypyridamole;Coribon;Coroxin;
CAS号 58-32-2
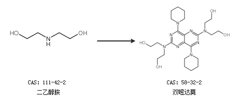
合成路线:
1.通过2,6-二氯-4,8-二哌啶子基嘧啶并[5,4-D]嘧啶和二乙醇胺合成双嘧达莫

2.通过二乙醇胺合成双嘧达莫

更多路线和参考文献可参考