你好,欢迎来到中华试剂网 购试剂 买耗材! [请登录][注册有惊喜]

货号快速下单 | 签到送积分   | 会员中心 | 客服热线:400-021-2765

叔丁基苯醚的合成路线有哪些?

提问时间:2021/4/20 8:14:17
叔丁基苯醚有什么方法可以合成?

1条回复:

匿名
2021/4/20 8:14:17
基本信息:
中文名称 叔丁基苯醚
中文别名 叔丁基苯基醚;
英文名称 Phenyl-t-Butylether
英文别名 (2-methylpropan-2-yl)oxybenzene;
CAS号 6669-13-2

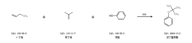
合成路线:
1.通过溴代苯和叔丁醇钠合成叔丁基苯醚,收率约97%;


2.通过1-丁烯、异丁烯和苯酚合成叔丁基苯醚,收率约50%;


更多路线和参考文献可参考
回复