你好,欢迎来到中华试剂网 购试剂 买耗材! [请登录][注册有惊喜]

货号快速下单 | 签到送积分   | 会员中心 | 客服热线:400-021-2765

十八烷二酸的合成路线有哪些?

提问时间:2021/4/20 8:14:15
十八烷二酸有什么方法可以合成?

1条回复:

匿名
2021/4/20 8:14:15
基本信息:
中文名称 十八烷二酸
中文别名 1,16-十六烷二羧酸;十八碳二酸;
英文名称 Octadecanedioic acid
英文别名 OCTADECANEDIOIC ACID;
CAS号 871-70-5

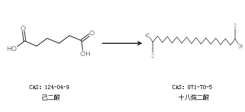
合成路线:
1.通过己二酸合成十八烷二酸


2.通过己二酰氯合成十八烷二酸


更多路线和参考文献可参考
回复