你好,欢迎来到中华试剂网 购试剂 买耗材! [请登录][注册有惊喜]

货号快速下单 | 签到送积分   | 会员中心 | 客服热线:400-021-2765

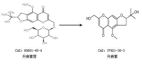
升麻素的合成路线有哪些?

提问时间:2021/4/20 8:14:15
升麻素有什么方法可以合成?

1条回复:

匿名
2021/4/20 8:14:15
基本信息:
中文名称 升麻素
英文名称 (2S)-7-(hydroxymethyl)-2-(2-hydroxypropan-2-yl)-4-methoxy-2,3-dihydrofuro[3,2-g]chromen-5-one
英文别名 I07-0216;N1342;Cimifugin;
CAS号 37921-38-3

合成路线:
1.通过升麻素苷合成升麻素


2.通过升麻素苷合成升麻素


更多路线和参考文献可参考
回复