你好,欢迎来到中华试剂网 购试剂 买耗材! [请登录][注册有惊喜]

货号快速下单 | 签到送积分   | 会员中心 | 客服热线:400-021-2765

三乙基硅烷的合成路线有哪些?

提问时间:2021/4/20 8:14:13
三乙基硅烷有什么方法可以合成?

1条回复:

匿名
2021/4/20 8:14:13
基本信息:
中文名称 三乙基硅烷
英文名称 Triethylsilane
英文别名 triethylsilicon;
CAS号 617-86-7

合成路线:
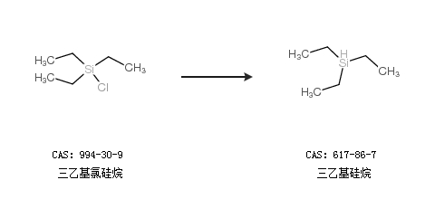
1.通过三乙基氯硅烷合成三乙基硅烷


2.通过乙基二氯硅烷和乙基氯化镁合成三乙基硅烷,收率约50%;


更多路线和参考文献可参考
回复