你好,欢迎来到中华试剂网 购试剂 买耗材! [请登录][注册有惊喜]

货号快速下单 | 签到送积分   | 会员中心 | 客服热线:400-021-2765

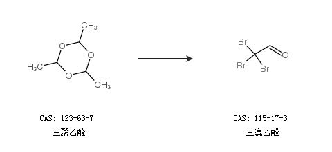
三溴乙醛的合成路线有哪些?

提问时间:2021/4/20 8:14:13
三溴乙醛有什么方法可以合成?

1条回复:

匿名
2021/4/20 8:14:13
基本信息:
中文名称 三溴乙醛
中文别名 溴醛;
英文名称 Tribromoacetaldehyde
英文别名 2,2,2-tribromoacetaldehyde;
CAS号 115-17-3

合成路线:
1.通过三氯乙醛合成三溴乙醛


2.通过三聚乙醛合成三溴乙醛


更多路线和参考文献可参考
回复