你好,欢迎来到中华试剂网 购试剂 买耗材! [请登录][注册有惊喜]

货号快速下单 | 签到送积分   | 会员中心 | 客服热线:400-021-2765

三苯乙烯的合成路线有哪些?

提问时间:2021/4/20 8:14:12
三苯乙烯有什么方法可以合成?

1条回复:

匿名
2021/4/20 8:14:12
基本信息:
中文名称 三苯乙烯
中文别名 α-苯基二苯乙烯;
英文名称 Triphenylethylene
英文别名 1,2-diphenylethenylbenzene;
CAS号 58-72-0

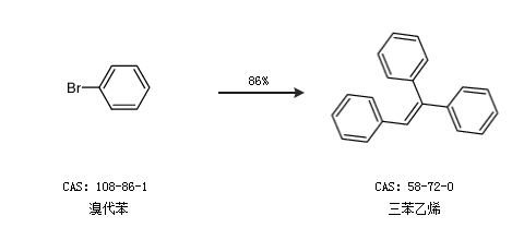
合成路线:
1.通过1,1-二苯乙烯和碘苯合成三苯乙烯,收率约86%;


2.通过溴代苯合成三苯乙烯,收率约86%;


更多路线和参考文献可参考
回复