基本信息:
中文名称 三苯基氯甲烷
中文别名 三苯基甲基氯;氯化三苯基甲烷;氯代三苯甲烷;
英文名称 Triphenylmethyl Chloride
英文别名 trityl chloride;1,1'',1"-(chloromethanetriyl)tribenzene;[chloro-di(phenyl)methyl]benzene;TrCl;
CAS号 76-83-5
合成路线:
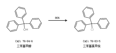
1.通过三苯基甲醇合成三苯基氯甲烷,收率约86%;

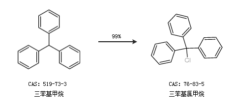
2.通过三苯基甲烷合成三苯基氯甲烷,收率约99%;

更多路线和参考文献可参考