你好,欢迎来到中华试剂网 购试剂 买耗材! [请登录][注册有惊喜]

货号快速下单 | 签到送积分   | 会员中心 | 客服热线:400-021-2765

三苯基膦-d15的合成路线有哪些?

提问时间:2021/4/20 8:14:12
三苯基膦-d15有什么方法可以合成?

1条回复:

匿名
2021/4/20 8:14:12
基本信息:
中文名称 三苯基膦-d15
中文别名 三苯基膦-D15;
英文名称 tris(2,3,4,5,6-pentadeuteriophenyl)phosphane
英文别名 triphenylphosphine-d15;tris-pentadeuteriophenyl-phosphane;
CAS号 24762-44-5

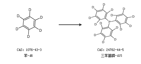
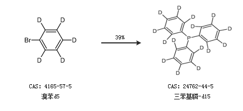
合成路线:
1.通过溴苯d5合成三苯基膦-d15,收率约39%;


2.通过苯-d6合成三苯基膦-d15


更多路线和参考文献可参考
回复