基本信息:
中文名称 三苯基甲醇
中文别名 羟基三苯基甲烷;三苯甲醇;
英文名称 Triphenylmethanol
英文别名 triphenylmethyl alcohol;triphenylcarbinole;diphenyl-phenyl carbinol;PH3C-OH;Ih-Tetrazole;TRT-OH;BL 3756;triphenyl methanol;Tritylcarbinol;TRITYL ALCOHOL;Tritanol;TRIPHENYLCARBINOL;
CAS号 76-84-6
合成路线:
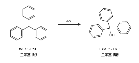
1.通过三苯基甲烷合成三苯基甲醇,收率约99%;

2.通过三苯基乙酸合成三苯基甲醇,收率约97%;

更多路线和参考文献可参考