基本信息:
中文名称 去氢胆酸钠
中文别名 脱氧胆酸钠一水合物;脱氢胆酸钠;
英文名称 Sodium dehydrocholate
英文别名 biliton;decholinsodium;decholinsodiumsalt;carachol;Natriumdehydrocholat;dilabilsodium;dehydrocholic acid monosodium salt;dycholium;SUPRACHOL;biliron;BILITON SODIUM SALT;SodiuMDehydrocholic;
CAS号 145-41-5
合成路线:
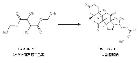
1.通过L-(+)-酒石酸二乙酯合成去氢胆酸钠

更多路线和参考文献可参考