你好,欢迎来到中华试剂网 购试剂 买耗材! [请登录][注册有惊喜]

货号快速下单 | 签到送积分   | 会员中心 | 客服热线:400-021-2765

氰乙酸甲酯的合成路线有哪些?

提问时间:2021/4/20 8:14:11
氰乙酸甲酯有什么方法可以合成?

1条回复:

匿名
2021/4/20 8:14:11
基本信息:
中文名称 氰乙酸甲酯
中文别名 甲基氰乙酸酯;
英文名称 methyl cyanoacetate
英文别名 Methyl Cyanoacetate;methyl 2-cyanoacetate;Cyanoacetic Acid Methyl Ester;Methyl cyanoacetate;
CAS号 105-34-0

合成路线:
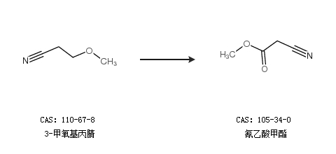
1.通过3-甲氧基丙腈合成氰乙酸甲酯


2.通过甲醇和氰乙酸合成氰乙酸甲酯,收率约97%;


更多路线和参考文献可参考
回复