你好,欢迎来到中华试剂网 购试剂 买耗材! [请登录][注册有惊喜]

货号快速下单 | 签到送积分   | 会员中心 | 客服热线:400-021-2765

氰乙酸的合成路线有哪些?

提问时间:2021/4/20 8:14:11
氰乙酸有什么方法可以合成?

1条回复:

匿名
2021/4/20 8:14:11
基本信息:
中文名称 氰乙酸
中文别名 氰基醋酸;氰基醋酸,氰基乙酸;氰基乙酸;
英文名称 cyanoacetic acid
英文别名 Cyanoacetic Acid;Cyanoacetic acid;
CAS号 372-09-8

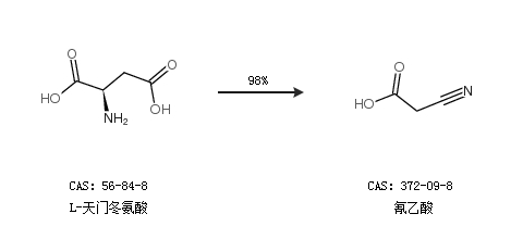
合成路线:
1.通过氰乙酸乙酯合成氰乙酸,收率约74%;


2.通过L-天门冬氨酸合成氰乙酸,收率约98%;


更多路线和参考文献可参考
回复