基本信息:
中文名称 泼尼松龙
中文别名 11Beta,17Alpha,21-三羟基孕甾-1,4-二烯-3,20-二酮;11β,17α,21-三羟基孕甾-1,4-二烯-3,20-二酮;孕甾-1,4-二烯-11β,17α,21-三醇-3,20-二酮;1,4-Pregnadiene-11β,17α,21-triol-3,20-dione;去氢氢化可的松;
英文名称 prednisolone
英文别名 steran;dicortol;ulacort;STEROLONE;hydeltra;eazolind;predonin;deltaf;Prednisolone;prednis;solone;
CAS号 50-24-8
合成路线:
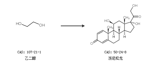
1.通过乙二醇合成泼尼松龙

2.通过双醋酸脱氢皮质醇合成泼尼松龙,收率约90%;

更多路线和参考文献可参考